1 min read

New preprint on Nilpotent Feed Forward Network Dynamics

arXiv preprint
New preprint on Nilpotent Feed Forward Network Dynamics

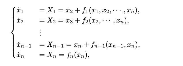
We explore the normal form of fully inhomogeneous feed forward network dynamical systems, characterized by a nilpotent linear component. We introduce a new normal form method, termed the triangular  sl(2)-style, to categorize this normal form. We aim to establish a comprehensive normal form theory, extending to quadratic terms across all dimensions. To accomplish this, we leverage mathematical tools including Hermite reciprocity, transvectants, and insights derived from the well-known 3-dimensional normal form related to Sylvester's work on generating functions for quadratic covariants. Furthermore, we formulate the orbital normal form in a general Lie algebraic context as the result of an outer transformation and expand it into block-triangular outer normal form. This extended framework is subsequently employed in both 2D and 3D scenarios, leading to noteworthy simplifications that prepare these systems for the study of bifurcations.

This preprint is authored by Fahimeh Mokhtari from Vrije Universiteit Amsterdam. It is available on arXiv preprint.