1 min read

New preprint on the relation between entropy production rate and microbial growth rate

New preprint on the relation between entropy production rate and microbial growth rate

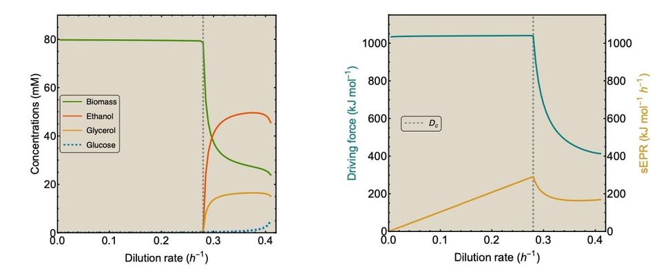
Entropy production rate is a measure for energy dissipation rate in the cell and quantifies irreversibility. In this preprint, the authors discuss how this quantity is related to the balanced growth rate of microbes growing in a chemostat. They demonstrate that entropy production rate always increases as function of the growth rate when the cell uses a fixed metabolic strategy, i.e. a fixed conversion of substrates into new cells and byproducts. For microbes that change their metabolism from an energetically efficient to a less efficient mode, entropy production rate may drop as their growth rate increases. This is illustrated through a case study of the yeast S. cerevisiae. This result is counterintuitive, as processes that run at a higher rate generally also dissipate more energy per unit of time. For example, the authors also show that entropy production rate of an isothermal chemical reaction network rises with its reaction rates. Living cells can break this relation as they can alter reaction rates in their metabolic network by changing enzyme concentrations.

This preprint is a collaboration between mathematicians Maarten Droste and Bob Planqué, and VU systems biologists Maaike Remeijer and Frank Bruggeman.