Papers

May
27
Preprints on Uncertainty Quantification for Neural Fields with random data

Preprints on Uncertainty Quantification for Neural Fields with random data

Daniele Avitabile, Francesca Cavallini, Svetlana Dubinkina, and Gabriel Lord have published two preprints analysing the problem of Forward Uncertainty Quantification
1 min read
Nov
07
Reluctant bifurcations organize synchrony breaking in hypernetworks

Reluctant bifurcations organize synchrony breaking in hypernetworks

A new paper of Eddie Nijholt (Imperial College), Bob Rink (VU) and Sören von de Gracht (Paderborn) was published today
1 min read
Nov
05
New preprint proves existence of quasi-patterns in spatially extended PDEs

New preprint proves existence of quasi-patterns in spatially extended PDEs

Quasi-patterns are symmetric solutions of spatially extended PDEs which are non-periodic but have a discrete diffraction diagram. Such patterns have
1 min read
Sep
25
The Lie algebraic structure of colored networks

The Lie algebraic structure of colored networks

Fahimeh Mokhtari and Jan Sanders from the Mathematics Department  of Vrije Universiteit Amsterdam explore the structural properties of colored network
1 min read
Sep
09
New preprint on Nilpotent Feed Forward Network Dynamics

New preprint on Nilpotent Feed Forward Network Dynamics

arXiv preprint
1 min read
Aug
23
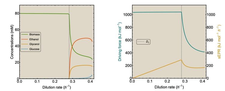
New preprint on the relation between entropy production rate and microbial growth rate

New preprint on the relation between entropy production rate and microbial growth rate

Entropy production rate is a measure for energy dissipation rate in the cell and quantifies irreversibility. In this preprint, the
1 min read
Aug
21
New preprint on robust adaptation by single-celled organisms to environmental changes

New preprint on robust adaptation by single-celled organisms to environmental changes

Single-celled organisms such as bacteria are able to tune enzyme levels that catalyze the reaction pathways by which they eventually
1 min read
Jun
14
Paper on well-posedness of neural fields with anisotropic diffusion

Paper on well-posedness of neural fields with anisotropic diffusion

A new paper by Amsterdam Dynamics member Daniele Avitabile, and collaborators Nikolai Chemetov and Pedro Lima studies well-posedness of solutions
1 min read
Apr
29
Preprint on high-order phase reductions for delay-coupled networks

Preprint on high-order phase reductions for delay-coupled networks

Coupled oscillators with time-delayed network interactions are critical to understand synchronization phenomena in many physical systems. Phase reductions to finite-dimensional
1 min read
Dec
02
What are higher-order networks?

What are higher-order networks?

Networks - as mathematical representations of interconnected units -  are relevant in a wide range of real-wold systems, ranging from
1 min read